Главная страница

Содержание

Тесты к лекции №1

Тесты к лекции №2

Тесты к лекции №3

Тесты к лекции №4

Тесты к лекции №5

Тесты к лекции №6

Тесты к лекции №7

Ключи к тестам

Тесты к лекции №5

5.1. При истечении жидкости из отверстий основным вопросом является

а) определение скорости истечения и расхода жидкости;
б) определение необходимого диаметра отверстий;
в) определение объема резервуара;
г) определение гидравлического сопротивления отверстия.

5.2. Чем обусловлено сжатие струи жидкости, вытекающей из резервуара через отверстие

а) вязкостью жидкости;
б) движением жидкости к отверстию от различных направлений;
в) давлением соседних с отверстием слоев жидкости;
г) силой тяжести и силой инерции.

5.3. Что такое совершенное сжатие струи?

а) наибольшее сжатие струи при отсутствии влияния боковых стенок резервуара и свободной поверхности;
б) наибольшее сжатие струи при влиянии боковых стенок резервуара и свободной поверхности;
в) сжатие струи, при котором она не изменяет форму поперечного сечения;
г) наименьшее возможное сжатие струи в непосредственной близости от отверстия.

5.4. Коэффициент сжатия струи характеризует

а) степень изменение кривизны истекающей струи;
б) влияние диаметра отверстия, через которое происходит истечение, на сжатие струи;
в) степень сжатия струи;
г) изменение площади поперечного сечения струи по мере удаления от резервуара.

5.5. Коэффициент сжатия струи определяется по формуле

5.6. Скорость истечения жидкости через отверстие равна

5.7. Расход жидкости через отверстие определяется как

5.8. В формуле для определения скорости истечения жидкости через отверстие буквой φ обозначается

а) коэффициент скорости;
б) коэффициент расхода;
в) коэффициент сжатия;
г) коэффициент истечения.

5.9. При истечении жидкости через отверстие произведение коэффициента сжатия на коэффициент скорости называется

а) коэффициентом истечения;
б) коэффициентом сопротивления;
в) коэффициентом расхода;
г) коэффициентом инверсии струи.

5.10. В формуле для определения скорости истечения жидкости через отверстие буквой H обозначают

а) дальность истечения струи;
б) глубину отверстия;
в) высоту резервуара;
г) напор жидкости.

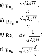
5.11. Число Рейнольдса при истечении струи через отверстие в резервуаре определяется по формуле

5.12. Изменение формы поперечного сечения струи при истечении её в атмосферу называется

а) кавитацией;
б) коррегированием;
в) инверсией;
г) полиморфией.

5.13. Инверсия струй, истекающих из резервуаров, вызвана

а) действием сил поверхностного натяжения;
б) действием сил тяжести;
в) действием различно направленного движения жидкости к отверстиям;
г) действием масс газа.

5.14. Что такое несовершенное сжатие струи?

а) сжатие струи, при котором она изменяет свою форму;
б) сжатие струи при влиянии боковых стенок резервуара;
в) неполное сжатие струи;
г) сжатие с возникновением инверсии.

5.15. Истечение жидкости под уровень это

а) истечении жидкости в атмосферу;
б) истечение жидкости в пространство, заполненное другой жидкостью;
в) истечение жидкости в пространство, заполненное той же жидкостью;
г) истечение жидкости через частично затопленное отверстие.

5.16. Скорость истечения жидкости через затопленное отверстие определяется по формуле

5.17. Напор жидкости H, используемый при нахождении скорости истечения жидкости через затопленное отверстие, определяется по формуле

5.18. Внешним цилиндрическим насадком при истечении жидкости из резервуара называется

а) короткая трубка длиной, равной нескольким диаметрам без закругления входной кромки;
б) короткая трубка с закруглением входной кромки;
в) короткая трубка с длиной, меньшей, чем диаметр с закруглением входной кромки;
г) короткая трубка с длиной, равной диаметру без закругления входной кромки.

5.19. При истечении жидкости через внешний цилиндрический насадок струя из насадка выходит с поперечным сечением, равным поперечному сечению самого насадка. Как называется этот режим истечения?

а) безнапорный;
б) безотрывный;
в) самотечный;
г) напорный.

5.20. Укажите способы изменения внешнего цилиндрического насадка, не способствующие улучшению его характеристик.

а) закругление входной кромки;
б) устройство конического входа в виде конфузора;
в) устройство конического входа в виде диффузора;
г) устройство внутреннего цилиндрического насадка.

5.21. Опорожнение сосудов (резервуаров) это истечение через отверстия и насадки

а) при постоянном напоре;
б) при переменном напоре;
в) при переменном расходе;
г) при постоянном расходе.

5.22. Из какого сосуда за единицу времени вытекает б?льший объем жидкости (сосуды имеют одинаковые геометрические характеристики)?

а) сосуд с постоянным напором;
б) сосуд с уменьшающимся напором;
в) расход не зависит от напора;
г) сосуд с увеличивающимся напором.

5.23. Скорость истечения жидкости из-под затвора в горизонтальном лотке определяется

5.24. Давление струи жидкости на ограждающую площадку определяется по формуле

5.25. В каком случае давление струи на площадку будет максимальным

5.26. На сколько последовательных частей разбивается свободная незатопленная струя?

а) не разбивается;
б) на две;
в) на три;
г) на четыре.

5.27. Укажите верную последовательность составных частей свободной незатопленной струи

а) компактная, раздробленная, распыленная;
б) раздробленная, компактная, распыленная;
в) компактная, распыленная, раздробленная;
г) распыленная, компактная, раздробленная.

5.28. С увеличением расстояния от насадка до преграды давление струи

а) увеличивается;
б) уменьшается;
в) сначала уменьшается, а затем увеличивается;
г) остается постоянным.

5.29. В каком случае скорость истечения из-под затвора будет больше?

а) при истечении через незатопленное отверстие;
б) при истечении через затопленное отверстие;
в) скорость будет одинаковой;
г) там, где истекающая струя сжата меньше.

5.30. Коэффициент сжатия струи обозначается греческой буквой

а) ε;
б) μ;
в) φ;
г) ξ.

5.31. Коэффициент расхода обозначается греческой буквой

а) ε;
б) μ;
в) φ;
г) ξ.

5.32. Коэффициент скорости обозначается буквой

а) ε;
б) μ;
в) φ;
г) ξ.

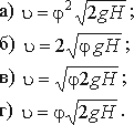
5.33. Коэффициент скорости определяется по формуле

5.34. Напор жидкости H, используемый при нахождении скорости истечения жидкости в воздушное пространство определяется по формуле

5.35. Расход жидкости при истечении через отверстие равен

5.36. Во сколько раз отличается время полного опорожнения призматического сосуда с переменным напором по сравнению с истечением того же объема жидкости при постоянном напоре?

а) в 4 раза больше;
б) в 2 раза меньше;
в) в 2 раза больше;
г) в 1,5 раза меньше.

5.37. Напор H при истечении жидкости при несовершенном сжатии струи определяется

а) разностью пьезометрического и скоростного напоров;
б) суммой пьезометрического и скоростного напоров;
в) суммой геометрического и пьезометрического напоров;
г) произведением геометрического и скоростного напоров.

5.38. Диаметр отверстия в резервуаре равен 10 мм, а диаметр истекающей через это отверстие струи равен 8 мм. Чему равен коэффициент сжатия струи?

а)1,08;
б) 1,25;
в) 0,08;
г) 0,8.

5.39. В каком случае давление струи на площадку будет минимальным

5.40. Из резервуара через отверстие происходит истечение жидкости с турбулентным режимом. Напор H = 38 см, коэффициент сопротивления отверстия ξ = 0,6. Чему равна скорость истечения жидкости?

а) 4,62 м/с;
б) 1,69 м/с;
в) 4,4;
г) 0,34 м/с.

Повторить тему

Ключи к тестам

Наверх страницы

Hosted by uCoz